- Share
Renter Households amid Rising Rents: 2019–2023
In this Economic Commentary, I assess how households in the United States who rent their primary residence managed rent inflation from 2019 through 2023, a span which saw the highest year-over-year rent growth in recent history. Using publicly available datasets, I look at renters across a variety of demographic groups, to determine who was most affected by rising rents. The results indicate that, overall, the median renter saw zero growth in their real residual income (income after rent payments adjusted for inflation). However, there was substantial heterogeneity across groups. The top third of renters by income also experienced no real residual income growth, but the bottom third of renters by income saw their real residual income fall by over 7 percent per year from 2019 through 2023, or by more than 25 percent for that four year period.
The views authors express in Economic Commentary are theirs and not necessarily those of the Federal Reserve Bank of Cleveland or the Board of Governors of the Federal Reserve System. The series editor is Tasia Hane. This paper and its data are subject to revision; please visit clevelandfed.org for updates.
The Impact of Rising Rents on Household Budgets
During the COVID-19 pandemic, year-over-year tenant rent inflation initially fell in 2020 and through the first quarter of 2021 before rising to the highest levels recorded in recent history in early 2023; it then declined (Figure 1, panel a). How did renter households manage such a large increase in cost for what was, for many, their largest single expenditure? In this Economic Commentary, I analyze publicly available data to understand how this rapid increase in rent affected household budgets and how these effects varied across households with different incomes, education levels, and other demographic variables. The findings have implications for household financial well-being because households that are more financially strained may begin to rely more on debt products to meet basic needs. There is evidence that inflation is higher for certain demographic groups, specifically those with lower incomes and Black households (Lee, 2022; Jaravel, 2021). This may also be the case for rent inflation, especially for lower-income renters.
Renters comprise almost 34 percent of all households in the United States but are in general of lower income and younger age than homeowners. According to the American Community Survey (ACS), in 2023 the median age of renter-household heads was 41 years old, while the median age for homeowners was 57 years old. Median household incomes for the two groups were $51,000 and $94,000, respectively. Homeowners have, on average, attained higher education levels: 32 percent of renter households had graduated college with a four-year degree, compared to 43 percent of homeowners. Given these differences in incomes and educational attainment, it is perhaps not surprising that as rental costs have risen, so has the share of renter households that are spending more than 50 percent of their income on rent, a threshold which is often the cutoff to be considered “severely cost burdened.”1 This share had previously risen to a peak of almost 30 percent in 2011 in the wake of the Great Recession as real median incomes fell more than 7.5 percent between 2007 and 2011, but it subsequently declined to 25 percent as the economy slowly recovered from the Great Recession (Figure 1, panel b). However, it increased again to about 28 percent of renter households after 2020, when rents rose faster than income following the pandemic recession. Overall, renters faced more financial hardships than homeowners during the pandemic. According to the Survey of Consumer Finances (SCF) (Table 1), almost 51 percent of renter households had trouble making a payment of some kind, compared to slightly below 27 percent of homeowners. Renters also were more likely to lose their jobs, with over 42 percent of renter households having lost a job, compared to just under 25 percent for homeowners. Renter households were also much more likely to have trouble making their rent payments than homeowners were in making their mortgage payments, at 21 percent and 8 percent, respectively.
According to the SCF, government stimulus payments,2 unemployment insurance, and payment relief (either rent or mortgage) were received by renters at higher rates than for homeowners. However, compared to the administration of mortgage payment relief for homeowners, that of rent relief was often more fragmented across multiple levels of government, was more uncertain, and took longer to reach renter households. Specifically, after the expiration of an initial and limited eviction moratorium included in the Coronavirus Aid, Relief, and Economic Security Act, subsequent broader national eviction moratoria were repeatedly imposed by the Centers for Disease Control and Prevention but were challenged by realtor associations and property managers in court (Alabama Association of Realtors v. HHS).
There were logistical challenges for renters, as well. The Emergency Rental Assistance Program, which was run by the US Treasury, provided funds to state and municipal governments to administer rental assistance, but renters had to qualify as “low income” and, at least initially, provide documentation showing that they had been negatively affected by the pandemic. Additionally, many states did not have a rental assistance program in place before the pandemic, and it took time to set up such programs (Reina et al., 2021) and to provide assistance to eligible households (Reina and Lee, 2023). States and local governments often struggled to quickly pass funds on to households with the greatest need (Aiken et al., 2022), and meeting the documentation requirements often represented a significant hurdle for renters (Aiken et al., 2023).
By contrast, the prominent role of the federal government in the mortgage market via the insurance and secondary market liquidity provided by Fannie Mae, Freddie Mac, and Ginnie Mae meant that homeowners with government-insured mortgages were quickly given access to forbearance, a circumstance which allowed them to pause mortgage payments with relatively little cost and without having to prove any harm arising directly from the pandemic (US Government Accountability Office, 2021).
Data
I use multiple data sources in this Economic Commentary. The American Community Survey (ACS) is an annual survey of US households conducted by the US Census Bureau that includes information on the tenure status of a household and housing information such as rent or mortgage payments, utilities, income, household demographics, and geography.3 The Survey of Consumer Finances (SCF) is a triennial survey of US households conducted by the Federal Reserve Board that includes similar information as that found in the ACS, but with the addition of detailed data on households’ financial wealth and net worth. Unlike the ACS, the SCF does not include geographic information.
Where specified, nominal dollars were deflated using consumer price indexes from the Bureau of Labor Statistics (BLS). Specifically, I deflate residual income (income after rent payments) using the consumer price index (CPI) excluding shelter. I do not deflate rent.4
The Impact of Rent Inflation by Household Characteristics
The share of renters that spent more than 50 percent of their income on rent rose from 25 percent in 2019 to more than 28 percent in 2022 before declining very slightly in 2023. But this increase may not have occurred proportionately for all demographics of renters. In Table 2, I report statistics about renter households in 2019 and 2023 for different demographic groups. In the first three columns, I split renter households into thirds by household income and then separate households by educational attainment, age category, and race. For each category, I report the number of households and median nominal monthly rent and income, the percentage of households that pay more than 50 percent of their income in rent, and the percentage of households that have moved within the last 12 months.
Rent increases and the percentage of severely cost-burdened households varies by income, educational attainment, race, and age. Unsurprisingly, lower-income households pay less for rent. The same is true for households with lower educational attainment and for some racial demographics such as Black households. The median rent paid by Hispanic households is a bit higher than the median rent paid by white households, although median Hispanic income is still lower than that of white households. Households with lower income compared to higher, lower educational attainment compared to higher, or who identify as nonwhite compared to white all spend a larger fraction of their income on rent on average. For example, in 2019, while 30 percent of Black households spent more than 50 percent of their income on rent, just 22 percent of white households did. Further, this difference is most pronounced for lower-income renter households compared with highest-income renter households. In 2019, 62 percent of lower-income renter households spent more than 50 percent of their income on rent, while just 1 percent of the highest-income renters did so.
In Table 2, we can see that all demographic groups except for the highest-income group saw an increase in the percent of households spending more than 50 percent of their income on rent between 2019 and 2023. The bottom third of renter households by income saw the largest percentage point increase in the share of households who are paying such a high fraction of their income. For this group, there was a 5 percentage point increase in households paying more than 50 percent of their income in rent, rising from 62 percent in 2019 to 67 percent in 2023. Households with a head around the age of 60 years old and those with some college but no college degree saw a 4 percentage point increase in the share of households spending more than 50 percent of their income on rent.
Rent increases and the percentage of severely cost-burdened households also varied by geographic location within the continental United States. In Figure 2, panel a, I plot average annual rent increases by state between 2019 and 2023. Rent growth was concentrated in the noncoastal western states (Montana, Idaho, Nevada, Utah, Colorado, and Arizona) and in the Sun Belt (Tennessee, the Carolinas, Georgia, and Florida) and Maine. These are also US states, especially those in the Sun Belt, that saw relatively high in-migration during the pandemic.
In Figure 2, panel b, I plot the change in the percentage of renter households that spend more than 50 percent of their income on rent between 2019 and 2023. This was also not evenly distributed geographically. Some states, generally those with low rent growth (although not all of them), saw a decline in the share of renters allocating such a large fraction of their income to rent; however, other states, specifically some of those with relatively high rent increases, saw this share go up. For example, Oregon saw a relatively muted increase in rent but a relatively larger increase in the share of renter households who are spending more than 50 percent of their income on rent, while the opposite is true for Montana.
Accounting for Inflation
Starting in 2021, inflation increased across the board, not just for shelter. Year-over-year CPI inflation for all items except shelter remained above 2.5 percent through April 2023. Unless wage growth kept up with these trends, whatever money households had left over after paying their rent (their “residual income”) would buy less than it would have previously.
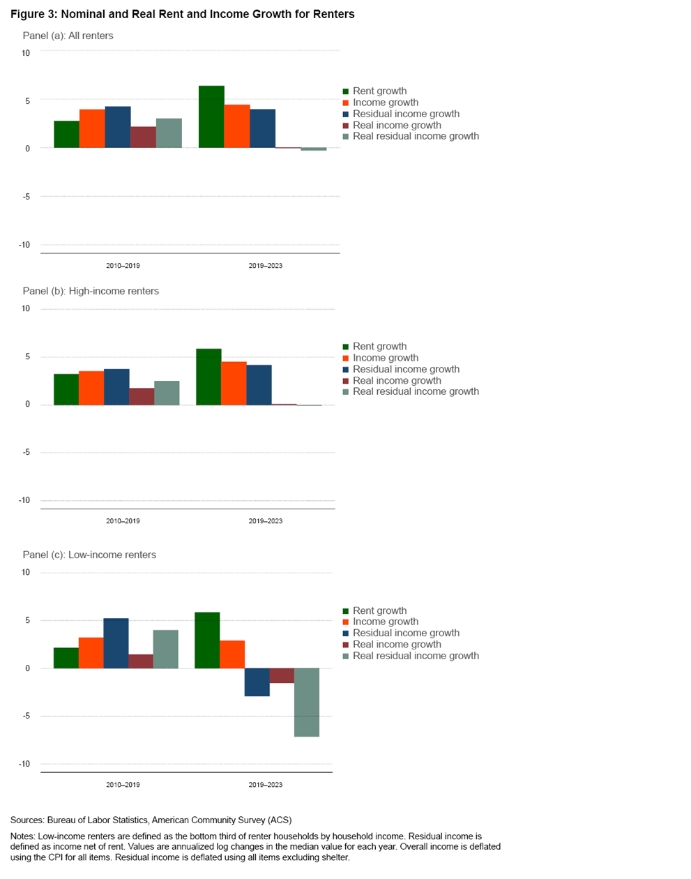
Using data from the ACS, we can see how inflation affected the purchasing power of household residual income. Figure 3, panel a plots the average annual growth in the median nominal rent, nominal and real income, and nominal and real residual income between 2010 and 2019 (the earlier period) and then between 2019 and 2023 (the later period). Between 2019 and 2023, the average annual change in nominal rent was more than double its 2010–2019 value for all renters. Income growth did not keep up. Income growth was higher than rent growth in the earlier period (3.9 percent per year for income and 2.74 percent per year for rent), but between 2019 and 2023, rent grew faster than income for all renters: median income grew at a 4.4 percent annual rate, but median rent grew at a 6.4 percent annual rate. Despite this pattern, with median rent growing faster than median income, median nominal residual income grew at relatively similar rates in both periods: 4.2 percent per year between 2010 and 2019 and 4.0 percent per year between 2019 and 2023.
Accounting for inflation results in more dramatic differences between the earlier and later periods. Between 2010 and 2019, core CPI inflation hovered around 2 percent. Since nominal income growth outpaced inflation during this period, real income grew by 2.2 percent per year on average between 2010 and 2019. Between 2019 and 2023, while nominal income grew faster than it had between 2010 and 2019, it did not grow fast enough to offset the increase in inflation, a situation resulting in real income growth of negative 0.02 percent per year. The differences for average growth in real residual income are similar across the two periods; that is, average growth in real residual income was 3 percent per year between 2010 and 2019 but negative 0.28 percent per year between 2019 and 2023.
These effects were not felt proportionately across the income distribution. Figure 3, panels b and c, are parallel figures to Figure 3, panel a, but focus on the top and bottom third of renters by income, respectively. During the early period, average annual nominal rent and income growth were similar across the income distribution. Nominal rent grew 2.15 (3.24) percent per year and nominal income grew 3.22 (3.52) percent per year for lower (higher) income households. Real incomes and real residual incomes grew for both groups. During the late period when inflation and rent inflation were high, the differences are more stark. Real income growth was negative 1.5 percent per year for low income renters, compared to positive 0.08 percent per year for high income renters. Since lower-income renters spend a higher share of their income on rent, the differences are even larger when looking at residual income. Higher income renters saw their real residual income decline by 0.06 percent per year, while low income renters saw their real residual income decline by just over 7 percent per year. This meant that over this four-year period, they saw their real income net of rent decline by over 25 percent, leaving them with real residual income on par with what this group last had in 2014.
There are some important caveats to this analysis. The ACS is not a panel dataset, so I am not tracking the same group of households over time. Renter households in 2010 may not be exactly comparable to renter households in 2023. Similarly, the bottom third of renter households by income can be a different subset of households in different years. Residual income for this category of households is also simply more volatile than for other groups. However, this analysis still sheds light on renter households as a group in aggregate. Renters in the bottom third of the income distribution in 2023 had substantially lower purchasing power after making their rent payments than low income renters in 2019.
Some researchers have argued that because of varying experiences with prices and consumption baskets, inflation is often higher for lower-income households during economic downturns, and that was specifically the case during the COVID-19 pandemic (Argente and Lee, 2021; Weber et al., 2022; Jaravel, 2021). When adjusting for inflation, I assumed equal inflation experiences across households. If lower-income households experienced higher inflation during the COVID-19 pandemic, then it is likely that the differences felt by lower- versus higher-income renter households would be even more stark.
Wealth for Renters
Many researchers also pointed out that household savings rates increased during the pandemic, at least in part because of stimulus payments and unemployment insurance (Abdelrahman and Oliveira, 2023; Fulford and Shupe, 2021; DeLuca and Pinheiro, 2023). So, while renters faced higher rents and declining real residual incomes, they were also provided with additional money that allowed them to better meet their obligations (Bhutta et al., 2020).
Given this, it is maybe not surprising that the median net worth—household assets minus any liabilities such as loans—of renters as measured using the SCF (which is only conducted every three years and is thus available in 2019 and 2022) increased during the pandemic, both in real and nominal terms (see Figure 4). Inflation, however, did mitigate this rise. In nominal dollars, between 2019 and 2022 the median renter saw an increase in their net worth of about $8,000, a 67 percent increase. This amount was reduced to about $4,000, or a 45 percent increase, when adjusted for inflation using the CPI for all items. Homeowners saw a similar pattern, but with respect to much larger dollar amounts. Nominal median net worth for homeowners increased by more than $100,000 between 2019 and 2022, about a 56 percent increase. In real terms, the increase in the median net worth for this group on average was $50,000, about a 35 percent increase.
While the degree varied, real net worth increased on average for all the demographic groups described in Table 2 for which we have data.5 The most recent SCF was conducted in 2022. Some researchers have predicted that excess savings would tide over households until the end of 2023 (Abdelrahman and Oliveira, 2023), so it remains to be seen whether this increase in net worth holds in future surveys.
Conclusion
The years since the pandemic recession have been marked with the highest inflation since the 1970s. This is especially true of rent inflation, which in February 2023 reached its highest year-over-year growth rate on record since the start of the series in 1982. Rent is often the largest single budget item for households who rent their primary residence, and such an increase in cost has the potential to put significant budgetary pressures on renter households. The statistics presented in this Economic Commentary delineate some US renter households’ experiences with rent inflation. The increase in rents affected renters across the board, with a higher share of renters from a variety of demographic groups spending more than 50 percent of their income on rent. However, the bottom third of renters by income comprised the group that was hardest hit, with its residual income falling by over 7 percent annually in real terms, between 2019 and 2023, or over 25 percent in total over that four year period.
Endnotes
- In general, researchers and policymakers consider households that spend more than 30 percent of their income on rent as cost burdened and those that spend over 50 percent as severely cost burdened. For example, see Daniels et al. (2025) or Herbert et al. (2018). Return to 1
- There were three rounds of stimulus payments made to households in response to the COVID-19 pandemic: one in the CARES Act (March 2020), one in the Consolidated Appropriations Act (December 2020), and one in the American Rescue Plan (March 2021). The survey does not distinguish among them. Return to 2
- When using the ACS, I use gross rent, which includes costs paid for utilities by the tenant and is therefore more comparable across units than contract rent, which may or may not include utility costs. Return to 3
- Often researchers deflate rent using CPI excluding shelter, a practice which puts the cost of rent in terms of other goods. While this may be a useful concept, it is not useful in the context of this article because I am interested in how households were affected by the amount they were required to spend on rent. Deflating rent using the CPI tenant rent index also does not provide any useful information as the focus of this article is the increased nominal cost of renting. Furthermore, quality of housing is relatively stable over time, so true real rent growth, especially for households that did not move, was likely close to zero. Return to 4
- “Asian” was not a separate racial category in the SCF until 2022. Return to 5
References
- Abdelrahman, Hamza, and Luiz Edgard Oliveira. 2023. “The Rise and Fall of Pandemic Excess Savings.” FRBSF Economic Letter, no. 2023-11 (May). frbsf.org/research-and-insights/publications/economic-letter/2023/05/rise-and-fall-of-pandemic-excess-savings/.
- Aiken, Claudia, Ingrid Gould Ellen, Isabel Harner, Tyler Haupert, Vincent Reina, and Rebecca Yae. 2022. “Can Emergency Rental Assistance Be Designed to Prevent Homelessness? Learning from Emergency Rental Assistance Programs.” Housing Policy Debate 32(6): 896–914. doi.org/10.1080/10511482.2022.2077802.
- Aiken, Claudia, Ingrid Gould Ellen, and Vincent Reina. 2023. “Administrative Burdens in Emergency Rental Assistance Programs.” RSF: Russell Sage Foundation Journal of the Social Sciences 9(5): 100–121. doi.org/10.7758/RSF.2023.9.5.05.
- Alabama Association of Realtors, et al. v. Department of Health and Human Services, et al., 594 US (2021) (Supreme Court of the United States). supremecourt.gov/opinions/20pdf/21a23_ap6c.pdf.
- Argente, David, and Munseob Lee. 2021. “Cost of Living Inequality During the Great Recession.” Journal of the European Economic Association 19(2): 913–952. doi.org/10.1093/jeea/jvaa018.
- Bhutta, Neil, Jacqueline Blair, Lisa Dettling, and Kevin Moore. 2020. “Covid-19, the Cares Act, and Families’ Financial Security.” National Tax Journal 73(3): 645–672. doi.org/10.17310/ntj.2020.3.02.
- Daniels, Mary, Mark P. Keightley, and Maggie McCarty. 2025. “Housing Cost Burdens in 2023: In Brief.” Congressional Research Service Report No. R48450. congress.gov/crs-product/R48450.
- DeLuca, Martin, and Roberto B. Pinheiro. 2023. “Excess Savings and Consumer Behavior: Excess Compared to What?” Economic Commentary, no. 2023-19 (November). doi.org/10.26509/frbc-ec-202319.
- Fulford, Scott, and Cortnie Shupe. 2021. “Consumer Finances during the Pandemic: Insights from the Making Ends Meet Survey.” Data Point No. 2021-3. Consumer Financial Protection Bureau Office of Research. consumerfinance.gov/data-research/research-reports/consumer-finances-during-pandemic-insights-making-ends-meet-survey/.
- Herbert, Chris, Alexander Hermann, and Daniel McCue. 2018. “Measuring Housing Affordability: Assessing the 30 Percent of Income Standard.” Working Paper. Joint Center for Housing Studies of Harvard University. jchs.harvard.edu/research-areas/working-papers/measuring-housing-affordability-assessing-30-percent-income-standard.
- Jaravel, Xavier. 2021. “Inflation Inequality: Measurement, Causes, and Policy Implications.” Annual Review of Economics 13(1): 599–629. doi.org/10.1146/annurev-economics-091520-082042.
- Lee, Munseob. 2022. “Do Black Households Face Higher and More Volatile Inflation?” Economic Brief No. 22-25. Federal Reserve Bank of Richmond. richmondfed.org/publications/research/economic_brief/2022/eb_22-25.
- Reina, Vincent, Claudia Aiken, Julia Verbrugge, Ingrid Gould Ellen, Tyler Haupert, Andrew Aurand, and Rebecca Yae. 2021. “COVID-19 Emergency Rental Assistance: Analysis of a National Survey of Programs.” Research Brief. The Housing Initiative at Penn, the NYU Furman Center, and the National Low Income Housing Coalition. nlihc.org/sites/default/files/HIP_NLIHC_Furman_Brief_FINAL.pdf.
- Reina, Vincent J., and Yeonhwa Lee. 2023. “COVID-19 and Emergency Rental Assistance: Impact on Rent Arrears, Debt, and the Well-Being of Renters in Philadelphia.” RSF: Russell Sage Foundation Journal of the Social Sciences 9(3): 208–229. doi.org/10.7758/RSF.2023.9.3.09.
- US Government Accountability Office. 2021. “COVID-19 Housing Protections: Mortgage Forbearance and Other Federal Efforts Have Reduced Default and Foreclosure Risks.” Report to Congressional Committees GAO-21-554. gao.gov/products/gao-21-554.
- Weber, Michael, Yuriy Gorodnichenko, and Olivier Coibion. 2022. “The Expected, Perceived, and Realized Inflation of US Households before and during the COVID19 Pandemic.” Working Paper No. 29640. National Bureau of Economic Research. doi.org/10.3386/w29640.
Suggested Citation
Loewenstein, Lara. 2026. “Renter Households amid Rising Rents: 2019–2023.” Federal Reserve Bank of Cleveland, Economic Commentary 2026-03. https://doi.org/10.26509/frbc-ec-202603
This work by Federal Reserve Bank of Cleveland is licensed under Creative Commons Attribution-NonCommercial 4.0 International
